1989: 【编程进阶】对称二叉树
Memory Limit:256 MB
Time Limit:1.000 S
Judge Style:Text Compare
Creator:
Submit:0
Solved:0
Description
一棵有点权的有根树如果满足以下条件,则被轩轩称为对称二叉树:
1. 二叉树;
2. 将这棵树所有节点的左右子树交换,新树和原树对应位置的结构相同且点权相等。
下图中节点内的数字为权值,节点外的id表示节点编号。
现在给出一棵二叉树,希望你找出它的一棵子树, 该子树为对称二叉树, 且节点数最多。 请输出这棵子树的节点数。
注意:只有树根的树也是对称二叉树。 本题中约定, 以节点T为子树根的一棵“子树”指的是: 节点T和它的全部后代节点构成的二叉树。
Input
第一行一个正整数n, 表示给定的树的节点的数目, 规定节点编号 1~n,其中节点 1 是树根。
第二行 n 个正整数, 用一个空格分隔, 第 i 个正整数 vi 代表节点 i 的权值。
接下来 n 行,每行两个正整数 li, ri,分别表示节点 i 的左右孩子的编号。 如果不存在左 / 右孩子,则以 -1 表示。 两个数之间用一个空格隔开。
第二行 n 个正整数, 用一个空格分隔, 第 i 个正整数 vi 代表节点 i 的权值。
接下来 n 行,每行两个正整数 li, ri,分别表示节点 i 的左右孩子的编号。 如果不存在左 / 右孩子,则以 -1 表示。 两个数之间用一个空格隔开。
Output
输出文件共一行, 包含一个整数,表示给定的树的最大对称二叉子树的节点数。
Sample Input Copy
样例输入1:
2
1 3
2 -1
-1 -1
样例输入2:
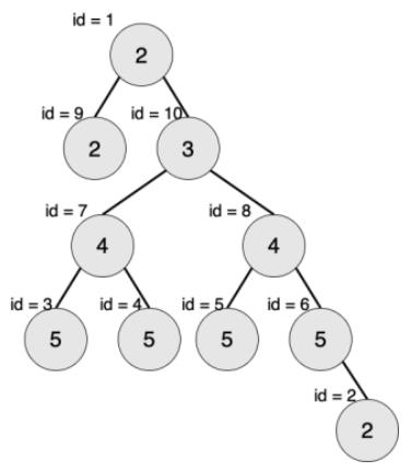
10
2 2 5 5 5 5 4 4 2 3
9 10
-1 -1
-1 -1
-1 -1
-1 -1
-1 2
3 4
5 6
-1 -1
7 8
Sample Output Copy
样例输出1:
1
样例输出2:
3
HINT
【输入输出样例 1 说明】

最大的对称二叉子树为以节点 2 为树根的子树,节点数为 1。
【输入输出样例 2 说明】

【数据规模与约定】
共 25 个测试点。
vi ≤ 1000。
测试点 1~3,n ≤ 10, 保证根结点的左子树的所有节点都没有右孩子,根结点的右
子树的所有节点都没有左孩子。
测试点 4~8,n ≤ 10。
测试点 9~12,n ≤ 105, 保证输入是一棵“满二叉树”。
测试点 13~16, n ≤ 105, 保证输入是一棵“完全二叉树”。
测试点 17~20, n ≤ 105, 保证输入的树的点权均为 1。
测试点 21~25, n ≤ 106。
层次: 节点的层次从根开始定义起,根为第一层,根的孩子为第二层。树中任一节点的层次等于其父亲节点的层次加 1。
树的深度: 树中节点的最大层次称为树的深度。
满二叉树: 设二叉树的深度为 h,且二叉树有 2h - 1 个节点,这就是满二叉树。
完全二叉树: 设二叉树的深度为 h,除第 h 层外,其它各层的结点数都达到最大个数,第 h 层所有的结点都连续集中在最左边,这就是完全二叉树。